汽车运费收入
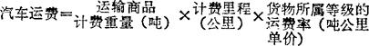
商业储运企业的专门汽车队或运输部(站)、仓库所属的汽车队,以自有汽车为货主运输商品物资而取得的服务收入,是汽车队补偿自有汽车在营运过程中的物化劳动和活劳动消耗以及上交税利的经济来源。 汽车运费的计收有两种做法:(1)按代运商品的计费重量、计费里程和货物等级的运费率(吨公里单价)来确定。其计算公式:  其中,计费重量是按车吨位计算,对实载量不到车吨位的也要按车吨位计算。计算里程是指运输货物的公里数。 由于短途运输经济效益较低,为合理收费,运输部门有最低运行里程基价的规定,即运输里程低于最低运行里程的,均按最低运行里程基价收费。 货物等级的运费率按不同的商品性质划分,有一般商品和危险品两种。因运输要求不同,后者的运费率要高于前者。 (2)计时包车收费。对运输里程短、等候时间长、往返次数多的运输业务有采取分别车型载重吨位、按时计收运费的办法,其计算公式: 汽车运费=计费时间×车型载重吨位×吨位小时运价 汽车队的运费收入在“储运业务收入”帐户下设置“汽车运费收入”子目核算。 实行“单车核算”,但车辆少的企业可在“汽车运费收入”子目内设置多栏式帐页分车记载;车辆较多的企业可另设明细簿反映。 |