洛氏硬度
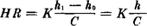
用金刚石圆锥体(锥角为102°、顶端球面半径为0.2mm)或一定直径的钢球作压头,在予负荷P。(10公斤力)和总负荷P先后作用下压入试样,以在总负荷作用后,卸除主负荷P1而保留予负荷时的压入深度h1与在予负荷作用下的压入深度h0之差h,来表示洛氏硬度。深度差大则硬度值低,反之则硬度值高。其计算公式为:  式中:HR为洛氏硬度值;K为常数,用钢球压头时为130,用金刚石压头时为100;h1为在已施加总负荷P,卸除主负荷P1但仍保留予负荷P0时,压头压入试样表面的深度;h0为在予负荷P0作用下,压头压入试样表面的深度;C为常数(规定为0.002毫米);h为h1与h0之差。 洛氏硬度规定以符号HR表示,并注以所用标尺A、B、C等字样,如HRA、HRE、HRC等。例如HRC50,即用C标尺测定的洛氏硬度值为50。 |