网站首页  词典首页

请输入您要查询的字词:

 

字词 辅酶q
类别 中英文字词句释义及详细解析
释义

辅酶Qcoenzyme Q

缩写符号为CoQ。即“泛醌(ubiquinone)”。

辅酶Q10coenzyme Q10, Co Q10

又叫癸烯醌,系辅酶的一种。此酶在呼吸链中起递氢体的作用,对多种酶均有激活作用。可用于冠心病、充血性心力衰竭、高血压等病的辅助治疗药物。本品每片5mg。口服1日3次,1次10~15mg,饭后服,1疗程2~4周。应用本品可有消化道症状、偶见荨麻疹、一过性心悸等反应。本品须贮存在避光处。

辅酶Q

辅酶Q

辅酶Q(CoQ)是一种脂溶性的醌类化合物,因广泛存在于生物界,所以又称为泛醌。
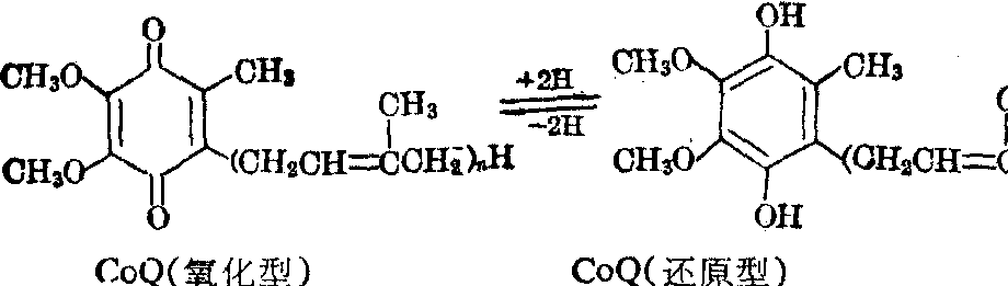
自然界中存在的辅酶Q,其分子中含类异戊二烯基团从6个到10个不等。因此可分成五种: CoQ6,CoQ7,CoQ8,CoQ9,及CoQ10。结构式如下:
人体中的辅酶Q为CoQ10,绝大多数哺乳动物中的也是CoQ10。而大鼠组织中则主要有CoQ9,也有CoQ10,CoQ8及CoQ7等。
CoQ为桔黄色(包括人工合成的少于6个类异戊二烯基团的CoQ),熔点低,在非极性溶剂中溶解度大。氧化型CoQ在270~290nm波长处有特征性吸收峰,在变成还原型CoQ时此吸收峰消失。
CoQ存在于线粒体内膜上,是呼吸链中一个递氢体成分,其分子中的苯醌结构接受来自内膜复合物Ⅱ或Ⅲ中的二个氢,还原而成对苯二酚衍生物。还原型CoQ将二个电子传递给细胞色素b,二个H+留在介质中,其本身则转变成氧化型CoQ。

☚ 黄素腺嘌呤二核苷酸   铁硫蛋白 ☛
00000763
随便看

 

文网收录3541549条中英文词条,其功能与新华字典、现代汉语词典、牛津高阶英汉词典等各类中英文词典类似,基本涵盖了全部常用中英文字词句的读音、释义及用法,是语言学习和写作的有利工具。

 

Copyright © 2004-2024 Ctoth.com All Rights Reserved
京ICP备2021023879号 更新时间:2025/10/17 14:08:38